08 septiembre 2014

Velocidad de una reacción

la velocidad de una reacción (v) se define como el cambio en la concentración de un reactivo o de un producto en un periodo de tiempo determinado, es decir la cantidad de reactante consumido o producto formado en ese tiempo. Matemáticamente se expresa como:

Formula de velocidad de una reaccion quimica

Reacciones simples

La velocidad de una reacción simple, como: A  →  B , se puede calcular según la variación de concentraciones del reactante y del producto.

  • La disminución del reactante A se expresa:

Velocidad de una reaccion simple

  • la formación del producto B se expresa

velocidad de una reaccion compleja

Reacciones complejas

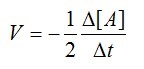
la velocidad de una reacción compleja, como: 2A  →  B , donde 2 moles de A desaparecen mientras se forma solo 1 mol de B, se expresa según:

  • Disminución del reactante

Disminucion del reactante, velocidad reaccion compleja

  • Formación del producto

formacion de producto, velocidad de una reaccion compleja

Ejercicios resueltos

1. La ecuación que representa la descomposición del ácido carbónico es:

H2CO3 → H2CO2 + CO2

Escribir la expresión de velocidad para el proceso.

Solución:

Ejercicio velocidad de una reaccion


2. La ecuación que representa la oxidación del bromuro de hidrógeno es:

4 HBr + O2  →  2 H2O + 2 Br2

Escribir la expresión de velocidad para el proceso.

Solución

ejercico velocidad reaccion compleja