21 agosto 2012

Ejercicios Estructura Atómica II – Iones

En los siguientes iones calcular

  • Número atómico (Z)
  • Número de protones (p)
  • Número de electrones (#e)
  • Numero de masa (A)
  • Número de neutrones (#n)

1Para el ion magnesio

ion magnesio

Solución:

solucion ion magnesio

Vemos en la gráfica que:

  • Número atómico (Z) = 12
  • Número de protones (p) = 12
  • Número de electrones (#e) = 12 – 3 = 9 (catión)
  • Numero de masa (A) = 26
  • Número de neutrones (#n) = A – Z = 26 – 12 = 14

2Para el ion aluminio

ion aluminio

3Para el ion sodio

ion sodio

4Para el ion calcio

ion calcio

5Para el ion cloro

ion cloro (2)

Solución:

ion cloro

Vemos en la gráfica que:

  • Número atómico (Z) = 17
  • Número de protones (p) = 17
  • Número de electrones (#e) = 17 +1 = 18  (anión)
  • Numero de masa (A) = 35
  • Número de neutrones (#n) = A – Z = 35 – 17 = 18

6ion azufre

ion azufre

7ion bromo

ion bromo

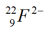
8ion fluor

ion fluor

9ion oxígeno

ion oxigeno